AJCN
HOME HELP FEEDBACK SUBSCRIPTIONS ARCHIVE SEARCH TABLE OF CONTENTS
QUICK SEARCH:   [advanced]
Author:
Keyword(s):
Year:  Vol:  Page: 

Institution: Portiuncula Hosp Sign In as Member and Individual (Non-member)
This Article
Abstract
Full Text (PDF)
An erratum has been published
Purchase Article
View Shopping Cart
Alert me when this article is cited
Alert me if a correction is posted
Citation Map
Services
Similar articles in this journal
Similar articles in PubMed
Alert me to new issues of the journal
Download to citation manager
Cited by other online articles
Request Permissions
PubMed
PubMed Citation
Articles by Heaney, R. P
Articles by Barger-Lux, M J.
American Journal of Clinical Nutrition, Vol. 77, No. 1, 204-210, January 2003
© 2003 American Society for Clinical Nutrition


Original Research Communication

Human serum 25-hydroxycholecalciferol response to extended oral dosing with cholecalciferol1,2,3

Robert P Heaney, K Michael Davies, Tai C Chen, Michael F Holick and M Janet Barger-Lux

1 From Creighton University, Omaha (RPH, KMD, and MJB-L), and Boston University (TCC and MFH).

2 Supported by the Health Future Foundation (Omaha).

3 Address reprint requests to RP Heaney, Creighton University, 601 North 30th Street, Suite 4841, Omaha, NE 68131. E-mail: rheaney@creighton.edu.


   ABSTRACT
TOP
ABSTRACT
INTRODUCTION
SUBJECTS AND METHODS
RESULTS
DISCUSSION
APPENDIX A
REFERENCES
 
Background: The cholecalciferol inputs required to achieve or maintain any given serum 25-hydroxycholecalciferol concentration are not known, particularly within ranges comparable to the probable physiologic supply of the vitamin.

Objectives: The objectives were to establish the quantitative relation between steady state cholecalciferol input and the resulting serum 25-hydroxycholecalciferol concentration and to estimate the proportion of the daily requirement during winter that is met by cholecalciferol reserves in body tissue stores.

Design: Cholecalciferol was administered daily in controlled oral doses labeled at 0, 25, 125, and 250 µg cholecalciferol for {approx}20 wk during the winter to 67 men living in Omaha (41.2° N latitude). The time course of serum 25-hydroxycholecalciferol concentration was measured at intervals over the course of treatment.

Results: From a mean baseline value of 70.3 nmol/L, equilibrium concentrations of serum 25-hydroxycholecalciferol changed during the winter months in direct proportion to the dose, with a slope of {approx}0.70 nmol/L for each additional 1 µg cholecalciferol input. The calculated oral input required to sustain the serum 25-hydroxycholecalciferol concentration present before the study (ie, in the autumn) was 12.5 µg (500 IU)/d, whereas the total amount from all sources (supplement, food, tissue stores) needed to sustain the starting 25-hydroxycholecalciferol concentration was estimated at {approx}96 µg ({approx}3800 IU)/d. By difference, the tissue stores provided {approx}78–82 µg/d.

Conclusions: Healthy men seem to use 3000–5000 IU cholecalciferol/d, apparently meeting > 80% of their winter cholecalciferol need with cutaneously synthesized accumulations from solar sources during the preceding summer months. Current recommended vitamin D inputs are inadequate to maintain serum 25-hydroxycholecalciferol concentration in the absence of substantial cutaneous production of vitamin D.

Key Words: Vitamin D • cholecalciferol • 25-hydroxycholecalciferol • nutrient requirement • parathyroid hormone • seasonal variation • tolerable upper input level


   INTRODUCTION
TOP
ABSTRACT
INTRODUCTION
SUBJECTS AND METHODS
RESULTS
DISCUSSION
APPENDIX A
REFERENCES
 
It has long been recognized that vitamin D is not a nutrient in the usual sense, because it is not naturally present in most of the foods that our hominid ancestors would have consumed. Also, evolving as it did in equatorial East Africa, the human race would have received very generous solar radiation and had correspondingly high cutaneous synthesis of vitamin D year-round. It has also been recognized that people living and working in northern latitudes or in environments in which they are deprived of solar exposure need supplemental vitamin D. Indeed, it was precisely because of the success of oral fish liver oil supplementation in eradicating rickets that vitamin D came to be considered a nutrient in the first place.

In 1997, when the Food and Nutrition Board (FNB) published recommendations for calcium and related nutrients (1), it established the concentration of serum 25-hydroxycholecalciferol [25(OH)D] as the functional indicator for vitamin D, abandoning the older criterion of absence of disease as the definition of nutritional adequacy. However, because the requisite data were not then available, 3 key questions were left unanswered when the recommendations for vitamin D input were published: 1) what concentration of serum 25(OH)D would constitute the lower limit of adequacy?; 2) how much input of cholecalciferol is required each day to meet or sustain any given concentration of serum 25(OH)D?; and 3) how much of that required input comes from stores of cholecalciferol produced by cutaneous photoconversion from 7-dehydrocholesterol?

During the past 20 y, when the measurement of serum 25(OH)D was routinely available, many reports were published documenting a rise in serum 25(OH)D after treatment with oral vitamin D preparations for various periods (2–9). However, none of these studies attempted a systematic investigation of the dose-response relation. Thus, we do not yet have a satisfactory answer to the second of the questions that confronted the FNB. This report represents an attempt to define this relation and to integrate the results of a formal pharmacokinetic exploration with published but largely anecdotal data—and thus to answer the second question—and to begin to answer the third question.


   SUBJECTS AND METHODS
TOP
ABSTRACT
INTRODUCTION
SUBJECTS AND METHODS
RESULTS
DISCUSSION
APPENDIX A
REFERENCES
 
Subjects
The subjects were 67 men, in good general health, who habitually consumed no more than one serving of milk/d and who did not take a vitamin supplement. Given this pattern, their food sources would have provided < 5 µg cholecalciferol/d. In addition, we excluded men who, over the 5-mo course of the study, were planning a winter vacation to a location at which either the altitude or the latitude would be predicted to result in significant cutaneous vitamin D synthesis from solar radiation (eg, a mountain ski resort or a Gulf Coast locale). Their mean (± SD) age was 38.7 ± 11.2, their weight was 84.8 ± 11.1 kg, and their mean body mass index (in kg/m2) was 26.2 ± 2.4. All subjects resided and worked in Omaha, at a latitude of 41.2° N (approximately the same as that of Boston or southern Italy). The project was approved by the Institutional Review Board of Creighton University, and all subjects gave written informed consent.

Design
The project was conducted during the winter months of 2 successive years, starting each year in late October and concluding in late February or early March. This is a time of year, at Omaha’s latitude, when cutaneous vitamin D3 synthesis is minimal (10), both because people are covered with heavy clothing and because the sun is at a low angle at midday. Subjects were randomly assigned to receive daily either no supplemental cholecalciferol, a tablet labeled to contain 1000 IU (25 µg) cholecalciferol, or 1 or 2 tablets labeled to contain 5000 IU (125 µg) cholecalciferol. The 1000-IU tablet preparation was supplied by Douglas Laboratories (Pittsburgh), and the 5000-IU tablets were supplied by Tishcon, Inc (Westbury, NY). For each preparation, we did not rely on the labeled content, but instead used analyzed values. The Douglas tablets were found to contain 836 IU (20.9 µg) cholecalciferol and the Tishcon tablets to contain 5500 IU (137.5 µg). Compliance was assessed by pill counts at each visit. The actual dosage for each subject was computed from the number of pills ingested over the entire period of treatment and the analyzed content of the dosage unit. For some analyses, this daily oral input was also adjusted for total body weight and for body fat mass.

For the 2 lower-dosage groups, visits were spaced evenly at approximately monthly intervals through the winter, and for the 2 higher-dosage groups visits were at {approx} 1, 3, 6, 10, and 20 wk after the beginning of supplementation, so as to better capture the early-rise component in the serum 25(OH)D response curve. At each visit, blood was obtained for the measurement of serum cholecalciferol, serum 25(OH)D, total serum calcium, and serum parathyroid hormone (PTH).

At approximately the midpoint of the study, each subject’s total body composition was measured by dual energy X-ray absorptiometry (Hologic 2000; Hologic, Inc, Waltham, MA). Both gross body weight and body fat were employed as variables modifying the effective oral dose.

Analytic methods
PTH was assayed by 2-site radioimmunometric assay (Nichols Institute Diagnostics, San Juan Capistrano, CA). Serum calcium was measured by routine methods. Serum cholecalciferol was measured in the laboratory of one of us (TCC) by methods described elsewhere (11). Because the 25(OH)D assay of Chen et al (12) exhibits cross-reactivity with other vitamin D metabolites, particularly 24, 25(OH)2D, we used the more specific Nichols method (catalog no. 40-2135; Nichols Institute Diagnostics) for this metabolite. This assay is essentially the same as the IDS assay commonly used in the United Kingdom.

Data handling and statistical analysis
It was expected that serum 25(OH)D would rise or fall over the course of the winter, depending on whether the daily input was more or less than the daily consumption or utilization. The model describing the expected time course for serum 25(OH)D3 concentrations is set forth in Appendix A. Briefly:

(1)
where C(t) is the 25(OH)D3 concentration at time t; C(0) is the serum 25(OH)D3 value at start of the study; a is the increment (or decrement) at equilibrium produced by a given constant input; k is the rate constant representing the proportion of the total mass of 25(OH)D3 used (or metabolized) per day; and t is the time in d. C(t), C(0), and a are all expressed in nmol/L. The time course data, both for the aggregate dosage groups and for each subject, were fitted to this equation with the use of the curve-fitting facility of SIGMAPLOT 2001 software (SPSS, Chicago). For 1 of the subjects in the highest-dosage group and for 17 subjects in the 2 lower-dosage groups, the data were erratic and the curve-fitting algorithm would not converge to provide good estimates of the parameters of equation 1. In these cases, the equilibrium increment (a) was taken as the simple arithmetic difference between the baseline and the final values. For the aggregated data sets, r2 exceeded 0.93 for the 2 higher-dosage groups, which showed the overall aptness of the model for the data. Even for the 2 lower-dosage groups, r2 averaged 0.690 and 0.810; each was highly significant and each was substantially greater than the result provided by a simple linear fit.

The values for the equilibrium increment (a), both for the grouped data and for each subject, were compared in regression analysis with the input variables (labeled and actual doses and dose adjusted for body size) by the use of standard statistical techniques. No biologic hypotheses were tested; the purpose of the investigation was simply to characterize the quantitative relation between input and the resulting increment in equilibrium serum concentration (ie, a), for which the regression methods provided the requisite descriptive statistics.


   RESULTS
TOP
ABSTRACT
INTRODUCTION
SUBJECTS AND METHODS
RESULTS
DISCUSSION
APPENDIX A
REFERENCES
 
The time course data for each of the 4 dosage groups are presented in Figure 1, which shows both the mean values at each time point and the curves fitted to these means with the use of Equation 1. The goodness of fit and the aptness of the model are visually evident. The mean (± SEM) values for the equation parameters for the fit to the mean values for each dosage group are shown in Table 1.



View larger version (15K):
[in this window]
[in a new window]
 
FIGURE 1. Time course of serum 25-hydroxycholecalficerol [25(OH)D] concentration for the 4 dosage groups. The points represent the mean values, and error bars are 1 SEM. The curves are the plot of Equation 1, fitted to the mean 25(OH)D3 values for each dosage group. The curves, from the lowest upward, are for 0, 25, 125, and 250 µg cholecalciferol (labeled dose)/d. The horizontal dashed line reflects zero change from baseline.

 

View this table:
[in this window]
[in a new window]
 
TABLE 1 Model variables by daily cholecalciferol dose1
 
As is shown in Figure 1 and Table 1, the groups had essentially identical starting values [C(0)] at the beginning of the winter. The equilibrium increments (a) above the starting value in Table 1 were, as predicted from the model, an increasing function of dose. The rate constant estimates (k) varied from 0.0177 to 0.0299, but the CIs around the estimates for the 2 lower-dosage groups were broad, and the estimates for the 4 dosage groups do not differ significantly. (The model predicts that they would be invariant across dose.) Their average, weighting by the inverse of the variance, was 0.0251. As shown in Appendix A, such a value for the rate constant can be interpreted to mean that the pool of 25(OH)D is used and replaced every 40 d.

Our primary purpose in this investigation was pharmacokinetic, ie, to define mathematically the relation between cholecalciferol input and the induced concentration of its principal metabolite. For this purpose, the mean values provided a better reflection of the reality we were attempting to quantify than did the individual values, affected as they were by analytic imprecision and irregular compliance, both of which are averaged out when we use the means. Nevertheless, the individual data provide useful information in their own right, particularly about interindividual variability. Descriptive statistics for the variables of greatest interest, derived from the application of the model to each subject’s data set, are shown in Table 2. As expected, the means for the principal model variables are close to (but not quite identical to) those derived from the fits to the group means.


View this table:
[in this window]
[in a new window]
 
TABLE 2 Measured cholecalciferol and 25-hydroxycholecalciferol [25(OH)D3] concentrations of all subjects and calculated model variables for each of the 4 dose groups1
 
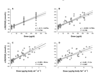
The data for the induced rise (ie, a) in serum 25(OH)D3, graphed as a function of the analyzed oral input by dosage group, are shown in Figure 2, and the induced 25(OH)D3 increments (a) are plotted in Figure 3 for each subject against the corresponding oral inputs calculated in 4 ways: labeled dose (A), actual dose (taking into consideration both analyzed pill content and subject compliance) (B), actual dose/kg body wt (C), and actual dose/kg fat mass (D). The slope for actual dose, as can be seen, was 0.70, which means that, for every milligram of the increment in cholecalciferol input per day, serum 25(OH)D3 at equilibrium was higher by 0.70 nmol/L. The 2 regressions for the dose when expressed per unit of body size (or fat mass) produced no perceptible improvement in the fit of the data. The slopes for the regression of the equilibrium increment on dose for the labeled and actual values were nearly identical, and, in any case, they did not differ significantly. In calculating results from these data, below, we shall use the slope based on the actual dose.



View larger version (12K):
[in this window]
[in a new window]
 
FIGURE 2. Regression of the equilibrium increment ({Delta}) in serum 25-hydroxycholecalciferol [25(OH)D3] concentration (a, from Equation 1) on analyzed doses for the means of each treatment group.

 


View larger version (26K):
[in this window]
[in a new window]
 
FIGURE 3. Regression of the equilibrium increments ({Delta}) in serum 25-hydroxycholecalciferol [25(OH)D3] in individual subjects on labeled dose (A), on actual dose (B), on actual dose expressed/kg body weight (C), and on actual dose expressed/kg body fat (D). The dashed lines represent the 95% CIs for the regression lines.

 
At the zero dose (see Figure 1), measured serum 25(OH)D3 fell slightly, and, at the 25-µg labeled dose (20.9 analyzed), it rose by nearly the same amount. The 2 higher doses produced predictably greater increases, almost reaching their respective plateaus by the end of the study. The drop at the zero dose from a basal value of 70.1 nmol/L was measured at 11.4 nmol/L with the use of the mean of the individual values and at 13.5 nmol/L with the use of the model parameters derived from the grouped data. By contrast, those assigned to the 1000-IU (25 µg) dosage group exhibited a measured change in the opposite direction of very nearly the same magnitude, ie, a rise of 12.0 nmol/L with the individual values and of 9.0 nmol/L with the model parameters for the grouped data. These sets of values straddle zero change, which, by interpolation, can be estimated to occur at a dose of < 12.5 µg (500 IU)/d. This is the amount of cholecalciferol that these men would have needed, in addition to the daily contribution from food and tissue stores, to maintain their starting serum 25(OH)D3 concentrations through the winter.

Serum PTH rose by 6% during the winter in the zero-dosage group (from a beginning value of 32 pg/mL; P = 0.05), was unchanged in the intermediate-dosage groups, and fell by 24% in the highest-dosage group (from 29.5 pg/mL; P < 0.001). Across all groups, the change in PTH was inversely correlated with the actual cholecalciferol dose (P < 0.01). Serum calcium was measured at each visit in the 2 higher-dosage groups, but it did not change significantly from baseline (: 9.6 mg/dL) at any time point at either dose. The first and last serum calcium values for the 31 participants in the higher-dosage groups are shown in Figure 4. No value rose above the upper limit of normal, and, as is visually evident, treatment did not increase the dispersion of serum calcium values.



View larger version (26K):
[in this window]
[in a new window]
 
FIGURE 4. Plot of total serum calcium concentrations before and after treatment in the 31 participants who had received {approx}130 d of treatment with 137.5 and 275 µg cholecalciferol (analyzed dose)/d. The horizontal dashed lines represent the reference normal range.

 

   DISCUSSION
TOP
ABSTRACT
INTRODUCTION
SUBJECTS AND METHODS
RESULTS
DISCUSSION
APPENDIX A
REFERENCES
 
To our knowledge, this study represents the first formal attempt to estimate the steady state cholecalciferol input required to achieve or maintain any given serum 25(OH)D concentration. We found, by using a broad range of controlled oral doses in subjects with low inputs of vitamin D from food sources and by performing these measurements during the winter season when solar vitamin D input is minimal, that the slope of the relation is 0.70 nmol • L-1 • µg input-1.

Byrne et al (2), in a meta-analysis of 10 published studies reporting 25(OH)D increments produced by various doses of vitamin D (all within the range of current dietary recommendations), provided data for serum 25(OH)D that can be calculated at 2.2 nmol • L-1 .• µg-1. The data of Chapuy et al (3), a study not included in tha meta-analysis, yield an estimate of 1.9 nmol • L-1 • µg-1. Krall et al (4) reported data exhibiting a slope of serum 25(OH)D on calculated dietary input of 2.1 nmol • L-1 • µg-1, very close to the meta-analytic estimate of Byrne et al (2). However, more recent work from a group in Lyon, France (5) contained data with a slope of 1.6 nmol • L-1 • µg-1, which is lower than their earlier estimate. In the same range of values, Kyriakidou-Himonas et al (6) reported data yielding a slope of 1.95 nmol • L-1 • µg-1 in older black women with low starting values for 25(OH)D. In most of these studies, total vitamin D input was not well controlled, adjustment was not made for the season, and the inputs did not extend beyond the range of current recommendations. Our own earlier study (7) used a much broader range of vitamin D inputs, but it also lacked seasonal control and found a slope of only 0.57 nmol • L-1 • µg-1.

Chel et al (8), in a study of ultraviolet radiation in 85-y-olds, also provided data for serum 25(OH)D concentrations after starting a steady input of 400 IU (10 µg)/d by mouth. Serum 25(OH)D rose from a very low concentration of {approx}20 nmol/L to {approx}60 nmol/L. When their time course data were analyzed by us, using the model of equation 1, the estimate of the equilibrium increment was 55 nmol/L, for a slope of 25(OH)D with a vitamin D3 dose of 5.5 nmol • L-1 • µg-1. This is one of the largest increments known to us. This value, as well as several of those cited above, indicate either that the slope is much steeper than we report here when starting from a status of depletion or that the 25(OH)D compartment is substantially smaller in elderly subjects than in the healthy younger men in our study. Also, assay analytic factors (13) may explain some of the differences in slope estimates among the various studies cited.

Vieth et al (9), in a recent study with a design similar to ours, reported values for the equilibrium increment of 1.15 nmol • L-1 • µg-1 for a 25-µg/d dose and of 0.56 nmol • L-1 • µg-1 for a 100-µg/d dose. Why these investigators did not find the same slope for both dosage concentrations (as was observed in our data) is unclear. Nevertheless, their estimates of slope bracket our value (0.70 nmol • L-1 • µg-1) and hence constitute independent confirmation of the general magnitude of the effect we describe here.

Without attaching particular significance to any given serum 25(OH)D concentration, it is nevertheless useful to select one such concentration so as to estimate the daily vitamin D input needed to achieve or sustain it. For this purpose, we selected 80 nmol/L, a figure near which serum PTH bottoms out (5,14,15). For a person with a starting value such as 50 nmol/L, the target increase would be 30 nmol/L, and, as the data in Figures 2 and 3B make clear, this increase would in turn require an additional input from all sources of {approx}43 µg ({approx}1700 IU)/d. The standard error of the slope of the relation, derived from the data plotted in Figures 2 and 3B, produces a 95% CI for this estimate of 33 to 65 µg (1320, 2600 IU)/d. If maintenance of the assumed basal concentration of 50 nmol/L required input in the same proportion, the total daily input needed to maintain a concentration of 80 nmol/L would be about 114 µg/d (4600 IU/d). The 95% CI around this estimate extends from 88 to 175 µg (3520, 7000 IU). Even at the lower bound of the CI, this estimate is high in relation to current assumptions about vitamin D. Nevertheless, our point estimate is very close to the one produced by Vieth (16) in a recent analysis of the vitamin D literature.

As noted in the Results section, 12.5 µg/d is the approximate oral input required to maintain serum 25(OH)D at zero change, at least from starting values in the range we observed ({approx}70 nmol/L). If one assumes input of <= 5 µg/d from food sources, these 2 sources combined would predict a serum 25(OH)D concentration of only 12 nmol/L, whereas the actual concentration was {approx}70 nmol/L, which leaves an unaccounted-for difference of {approx}58 nmol/L. With the use of our measured slope of serum concentration on actual daily input (ie, 0.7 nmol • L-1 • µg-1 d-1), it follows that about 85 µg ({approx}3400 IU) cholecalciferol in body tissue stores must have been converted to 25(OH)D each day in these healthy men. The identification of the relative magnitude of the contribution to 25(OH)D concentrations coming from cholecalciferol stores may help explain the broad range of dose response relations reported by others and summarized above.

It should be noted that the amount of cholecalciferol that we found to be required to maintain a constant concentration over the winter months is very similar to the amount that Holick (17) found was required for atomic submariners across the quasi-winter of a tour of duty. However, it is also clear from our data (and from his) that this value presumes a very substantial input from previously acquired tissue stores. Thus, it would not be correct to extrapolate this estimate of the maintenance requirement to populations without substantial body stores of cholecalciferol.

Both Vieth (16) and Holick (18) estimated that a single whole-body minimum erythema dose of solar radiation to the skin produces an input of 10 000 IU (250 µg) cholecalciferol, and, hence, frequent exposure, particularly during the summer months, would be expected to produce inputs close to or even exceeding the upper end of the dosage range used in this investigation. We previously noted that the slope of the relation in various reports is inversely related to the size of the dose (7). Because our range of doses was greater than that previously reported, our slope may have been spuriously lowered by inefficient conversion of cholecalciferol to 25(OH)D at the higher dosages. There is, in Figure 2, a hint of curvilinearity in the relation, because the increment from zero to 20.9 µg/d is slightly larger than the corresponding increments at higher dose concentrations. But, as is visually evident, the difference is extremely small.

Since 25(OH)D measurement became available clinically, it has been the common experience of clinicians and investigators that the standard multivitamin preparation (nominally containing 400 IU/dose unit) produced often imperceptible changes in measured serum 25(OH)D. Our present results confirm, in a general way, the relative smallness of the response to inputs in the range of the currently recommended oral vitamin D inputs (1). Using the slope for actual dose (ie, 0.70 nmol • L-1 • µg-1 • d-1), one can readily calculate that a dose such as 400 IU/d would elevate serum 25(OH)D3 by 7.0 nmol/L. Given the between assay variability of the methods for measuring serum 25(OH)D, it is unlikely that changes this small would be regularly detectable in individual persons.

Our calculations assume the effective equivalence of oral and cutaneous sources of cholecalciferol. If this assumption is approximately correct, it follows that typical food and supplement inputs provide < 15% of the amount required to sustain, for example, a serum 25(OH)D3 concentration of 70–80 nmol/L. Thus, the recommendations of the FNB with respect to oral vitamin D input (1) fall into a curious zone between irrelevance and inadequacy. For those persons with extensive solar exposure, the recommended inputs add little to their usual daily production, and for those with no exposure (or those, such as the elderly, with reduced cutaneous synthesis), the recommended doses are insufficient to ensure desired 25(OH)D concentrations. For example, if a 70-y-old person’s sole source of vitamin D were the 600 IU/d recommended by the FNB (1), the data presented in this paper indicate that such an amount would be sufficient to sustain a 25(OH)D3 concentration in the range of only 12.5 nmol/L, a value generally recognized as subnormal and probably consistent with osteomalacia. Even if the 25(OH)D response slope from a concentration of severe depletion were 3 times that reported here, following the FNB’s recommendation in those aged > 70 y would produce a serum 25(OH)D concentration of only 37.5 nmol/L, which remains far from adequate. Several groups have reached the same conclusion, namely that, without appreciable cutaneous synthesis, current cholecalciferol input recommendations are inadequate (19,20).

None of this is to be taken as a criticism of the 1997 recommendations. Two of us (MFH and RPH), in fact, served on the Calcium and Related Nutrients Panel of the FNB. As noted in the Introduction, the data needed for the calculations presented here simply did not exist at the time the current recommendations were formulated. However, given the general consistency of the findings from both this investigation and the others cited above, it may be that the FNB should reopen this issue.

Widespread supplementation with vitamin D has important public health implications. The FNB proposed estimates, for the first time, of tolerable upper input levels for nutrients, particularly for the micronutrients that can be incorporated into foods as fortificants or ingested as nutritional supplements (1). Evidence available to the FNB with regard to vitamin D toxicity at inputs of the magnitude employed in this study was scant in the extreme. Nevertheless, on the basis of sporadic reports (of uncertain quality) of hypercalcemia and hypercalciuria, the panel settled on a conservative tolerable upper input level of 2000 IU/d for vitamin D (1), recognizing that many persons, especially those who work outdoors in the summer, almost certainly had higher inputs without apparent adverse effect.

We agree completely with Vieth (9) that the evidence available today indicates that a value of 2000 IU/d for the tolerable upper input level is too low. As already noted, the data presented here indicate an average daily need perhaps twice that amount. Note that, in our study, 20 wk of supplementation at 5500 and 11 000 IU/d, starting from a status of relative vitamin D repletion, produced no elevation of serum calcium above the upper limits of normal in any subject. Note also that the highest mean 25(OH)D3 values reached were {approx}160 and {approx}220 nmol/L, respectively. By contrast, a case report (21) suggested that serum 25(OH)D concentrations between 125 and 225 nmol/L produce bone loss. Although that study was almost certainly in error on technical grounds, the fact that it could be published with an accompanying, supportive editorial (22) underscores both the almost complete absence of basic data in this field and the need to obtain such data. This present report constitutes one step in providing this missing information.


   APPENDIX A
TOP
ABSTRACT
INTRODUCTION
SUBJECTS AND METHODS
RESULTS
DISCUSSION
APPENDIX A
REFERENCES
 
Because serum 25-hydroxycholecalciferol [25(OH)D] concentrations tend to be stable (albeit with some degree of superimposed annual cyclicity), it seemed reasonable to propose a steady state system in which input equals output, ie, a pool or compartment of 25(OH)D3 that is replenished by hepatic hydroxylation of circulating cholecalciferol at the same rate at which 25(OH)D3 itself is metabolized or consumed. Diagrammatically, the system can be represented as in Figure A1. For both compartments at equilibrium, dQ/dt = 0 and, effectively, {rho}12 = {rho}23. The corresponding rate constants (eg, k12 and k23), not shown, are given as {rho}ij/Qi.



View larger version (6K):
[in this window]
[in a new window]
 
FIGURE A1. A steady state, two-compartment system in which input equals output. Q1 represents the cholecalciferol compartment and Q2 represents the 25(OH)D3 compartment; {rho}01 is the total cholecalciferol input rate (in µg/d) from solar, food, and supplement sources; {rho}12 is the 25-hydroxylation rate, ie, the replenishment of the 25(OH)D3 compartment; {rho}14 is the metabolism of cholecalciferol along other pathways; and {rho}23 is the metabolism or consumption rate of 25(OH)D3.

 
For the purposes of this analysis, this 2-compartment system can be usefully simplified to a single compartment by focusing only on Q2, the 25(OH)D3 compartment (Figure A2). At equilibrium, Q is constant, ie, dQ/dt = 0, and I = kQ. When I is increased, Q rises for a time, until kQ = I, and dQ/dt once again becomes zero. In brief,

(A1)



View larger version (6K):
[in this window]
[in a new window]
 
FIGURE A2. Simplification of the two-compartment system in which input equals output into a one-compartment system. I = input (ie, the daily amount of cholecalciferol that is 25-hydroxylated), Q = the size of the compartment, and k = the fractional turnover (or loss) constant.

 
and


(A2)
Multiplying both sides of equation A2 by I and rearranging yields

(A3)
Then, integrating yields

A4
where A is a constant of integration; rearranging yields

(A5)
Taking the antilog,

(A6)
But, A, k, and I are constants, and hence the second factor on the right side of equation A6 is also a constant (eg, B). Thus, equation A6 can be simplified to

(A7)
Evaluating at t = 0 allows us to solve for B; equation A7 becomes


(A8)
Thus, substituting this value for B in equation A7 yields

(A9)
Correspondingly, evaluating at t = {infty}, equation A9 becomes

(A10)
Or, in other words, Q{infty} = I/k.Solving equation A10 for Qt produces the following:

(A11)
If a is defined as the augmentation of Q0 produced by a change in I, then Q{infty} = Q0 + a, and, substituting,

(A12)

It is this equation that was used to fit the time courses of serum 25(OH)D concentration after various changed inputs (Is) (see Figure 1).

While useful as a first approximation, this model is somewhat oversimplified in several respects. First, the model is expressed explicitly in mass terms (Q), whereas the measurements are in terms of concentration (C), ie, mass per unit volume. However, so long as the volume of distribution remains approximately constant over the course of a study, the translation of mass to concentration involves only a constant divisor. Hence the kinetics of the 2 situations will be the same, and the relation between dose and equilibrium concentration will be the same as that between dose and equilibrium content.

Second, the model assumes that k is invariant across the range of I and Q0 values. This assumption seems validated for doses in the range of the data described in this report, but it must be noted that most or all our subjects were vitamin D replete, and thus the assumption may not be valid for persons with low serum 25(OH)D3 concentrations, in whom elevated PTH secretion may drive increased 1-{alpha}-hydroxylation of 25(OH)D3, thereby increasing k. Similarly, for low serum cholecalciferol concentrations, 25-hydroxylation may be more efficient, causing a given cholecalciferol dose to produce a higher I value.

Further, the model assumes constancy of I over time after experimental alteration of input. However, the administered doses of vitamin D3 do not constitute the only input to the 25(OH)D3 compartment. Instead,

(A13)
where IT = total daily input of 25(OH)D3 from all sources, Ib = background or basal input from cholecalciferol stored in the body tissues, If = input from food, and Id = conversion from dosed cholecalciferol. The assumption is that Ib and If remain constant, but of course that cannot be strictly true, because, as body stores of cholecalciferol decline during the winter, 25-hydroxylation will decline as well. Hence, Ib is not a constant but a declining exponential function in its own right. In the analyses performed in this study, involving men both overweight and with apparently large tissue stores of cholecalciferol, this oversimplification will have only a negligible effect on the calculations. As Figure 1 makes clear, the zero-dosage group experienced only a small drop in 25(OH)D3, ie, {approx}12 nmol/L, whereas the 10 000 IU/d labeled-dosage group experienced a rise in serum 25(OH)D3 of 158.4 nmol/L, which is more than an order of magnitude greater. The rise with augmented dosing will be slightly understated, but the error introduced is small, and elevating all the augmented values by the amount of the drop in the zero-dosage group will not appreciably change the slope of the dose-response relation (see Figure 2). Hence, we conclude that this oversimplification does not adversely affect our ability to use the model to analyze the data in the way we have done.

Finally, the one-compartment simplification is just that—a simplification. It assumes that input to Q2 (ie, 25-hydroxylation) is a constant proportion of the input to Q1 (cholecalciferol dose). That may not be true for all states of vitamin D repletion. The ratio of {rho}12 to {rho}14 may well be higher when Q1 is small. The available literature is of little help in this regard, so we can only note this limitation as a theoretical possibility.


   REFERENCES
TOP
ABSTRACT
INTRODUCTION
SUBJECTS AND METHODS
RESULTS
DISCUSSION
APPENDIX A
REFERENCES
 

  1. Food and Nutrition Board, Institute of Medicine. Dietary reference inputs for calcium, magnesium, phosphorus, vitamin D, and fluoride. Washington, DC: National Academy Press, 1997.
  2. Byrne PM, Freaney R, McKenna MJ. Vitamin D supplementation in the elderly: review of safety and effectiveness of different regimes. Calcif Tissue Int 1995;56:518–20.[Medline]
  3. Chapuy MC, Arlot ME, Duboeuf F, et al. Vitamin D3 and calcium to prevent hip fractures in elderly women. N Engl J Med 1992;327:1637–42.[Abstract]
  4. Krall EA, Sahyoun N, Tannenbaum S, Dallal GE, Dawson-Hughes B. Effect of vitamin D input on seasonal variations in parathyroid hormone secretion in postmenopausal women. N Engl J Med 1989;321:1777–83.[Abstract]
  5. Chapuy M-C, Preziosi P, Maamer M, et al. Prevalence of vitamin D insufficiency in an adult normal population. Osteoporos Int 1997;7:439–43.[Medline]
  6. Kyriakidou-Himonas M, Aloia JF, Yeh JK. Vitamin D supplementation in postmenopausal black women. J Clin Endocrinol Metab 1999;84:3988–90.[Abstract/Free Full Text]
  7. Barger-Lux MJ, Heaney RP, Dowell S, Holick MF, Chen T. Vitamin D and its major metabolites: serum concentrations after graded oral dosing in healthy men. Osteoporos Int 1998;8:222–30.[Medline]
  8. Chel VGM, Ooms ME, Popp-Snijders C, et al. Ultraviolet irradiation corrects vitamin D deficiency and suppresses secondary hyperparathyroidism in the elderly. J Bone Miner Res 1998;13:1238–42.[Medline]
  9. Vieth R, Chan PCR, MacFarlane GD. Efficacy and safety of vitamin D3 input exceeding the lowest observed adverse effect concentration. Am J Clin Nutr 2001;73:288–94.[Abstract/Free Full Text]
  10. Webb AR, Kline L, Holick MF. Influence of season and latitude on the cutaneous synthesis of vitamin D3: exposure to winter sunlight in Boston and Edmonton will not promote vitamin D3 synthesis in human skin. J Clin Endocrinol Metab 1988;67:373–8.[Abstract]
  11. Chen TC, Turner AR, Holick MF. Method for the determination of the circulating concentration of vitamin D. J Nutr Biochem 1990;1:272–6.
  12. Chen TC, Turner AR, Holick MF. Methods for the determination of the circulating concentration of 25-hydroxyvitamin D. J Nutr Biochem 1990;1:315–9.
  13. Lips P, Chapuy MC, Dawson-Hughes B, Pols HAP, Holick MF. An international comparison of serum 25-hydroxyvitamin D measurements. Osteoporos Int 1999;9:394–7.[Medline]
  14. Thomas MK, Lloyd-Jones DM, Thadhani RI, et al. Hypovitaminosis D in medical inpatients. N Engl J Med 1998;338:777–83.[Abstract/Free Full Text]
  15. Dawson-Hughes B, Harris SS, Dallal GE. Plasma calcidiol, season, and serum parathyroid hormone concentrations in healthy elderly men and women. Am J Clin Nutr 1997;65:67–71.[Abstract]
  16. Vieth R. Vitamin D supplementation, 25-hydroxyvitamin D concentrations, and safety. Am J Clin Nutr 1999;69:842–56.[Abstract/Free Full Text]
  17. Holick MF. McCollum Award Lecture, 1994: vitamin D—new horizons for the 21st century. Am J Clin Nutr 1994;60:619–30.[Abstract]
  18. Holick MF. Sunlight "D"ilemma: risk of skin cancer or bone disease and muscle weakness. Lancet 2001;357:4–6.[Medline]
  19. Glerup H, Mikkelsen K, Poulsen L, et al. Commonly recommended daily input of vitamin D is not sufficient if sunlight exposure is limited. J Int Med 2000;247:260–8.[Medline]
  20. Vieth R, Cole DE, Hawker GA, Trang HM, Rubin LA. Wintertime vitamin D insufficiency is common in young Canadian women, and their vitamin D input does not prevent it. Eur J Clin Nutr 2001;55:1091–7.[Medline]
  21. Adams JS, Lee G. Gains in bone mineral density with resolution of vitamin D intoxication. Ann Intern Med 1997;127:203–6.[Abstract/Free Full Text]
  22. Marriott BM. Vitamin D supplementation: a word of caution. Ann Intern Med 1997;127:231–3.[Free Full Text]
Received for publication October 8, 2001. Accepted for publication April 12, 2002.




This article has been cited by other articles:


Home page
Clin Med ResHome page
R. P. Heaney
Advances in Therapy for Osteoporosis
Clin. Med. Res., April 1, 2003; 1(2): 93 - 99.
[Abstract] [Full Text] [PDF]


Home page
JAMAHome page
H. A. Bischoff-Ferrari, W. C. Willett, J. B. Wong, E. Giovannucci, T. Dietrich, and B. Dawson-Hughes
Fracture Prevention With Vitamin D Supplementation: A Meta-analysis of Randomized Controlled Trials
JAMA, May 11, 2005; 293(18): 2257 - 2264.
[Abstract] [Full Text] [PDF]


Home page
J Clin Endocrinol MetabHome page
R. Goussous, L. Song, G. E. Dallal, and B. Dawson-Hughes
Lack of Effect of Calcium Intake on the 25-Hydroxyvitamin D Response to Oral Vitamin D3
J. Clin. Endocrinol. Metab., February 1, 2005; 90(2): 707 - 711.
[Abstract] [Full Text] [PDF]


Home page
J. Nutr.Home page
B. W. Hollis
Circulating 25-Hydroxyvitamin D Levels Indicative of Vitamin D Sufficiency: Implications for Establishing a New Effective Dietary Intake Recommendation for Vitamin D
J. Nutr., February 1, 2005; 135(2): 317 - 322.
[Abstract] [Full Text] [PDF]


Home page
J. Nutr.Home page
S. J. Whiting and M. S. Calvo
Dietary Recommendations for Vitamin D: a Critical Need for Functional End Points to Establish an Estimated Average Requirement
J. Nutr., February 1, 2005; 135(2): 304 - 309.
[Abstract] [Full Text] [PDF]


Home page
J. Nutr.Home page
D. A. Hanley and K. S. Davison
Vitamin D Insufficiency in North America
J. Nutr., February 1, 2005; 135(2): 332 - 337.
[Abstract] [Full Text] [PDF]


Home page
J. Nutr.Home page
M. S. Calvo and S. J. Whiting
Overview of the Proceedings from Experimental Biology 2004 Symposium: Vitamin D Insufficiency: A Significant Risk Factor in Chronic Diseases and Potential Disease-Specific Biomarkers of Vitamin D Sufficiency
J. Nutr., February 1, 2005; 135(2): 301 - 303.
[Full Text] [PDF]


Home page
Am. J. Clin. Nutr.Home page
B. W Hollis and C. L Wagner
Vitamin D requirements during lactation: high-dose maternal supplementation as therapy to prevent hypovitaminosis D for both the mother and the nursing infant
Am. J. Clinical Nutrition, December 1, 2004; 80(6): 1752S - 1758S.
[Abstract] [Full Text] [PDF]


Home page
Am. J. Clin. Nutr.Home page
C. M Weaver and J. C Fleet
Vitamin D requirements: current and future
Am. J. Clinical Nutrition, December 1, 2004; 80(6): 1735S - 1739S.
[Abstract] [Full Text] [PDF]


Home page
Am. J. Clin. Nutr.Home page
R. P Heaney
Functional indices of vitamin D status and ramifications of vitamin D deficiency
Am. J. Clinical Nutrition, December 1, 2004; 80(6): 1706S - 1709S.
[Abstract] [Full Text] [PDF]


Home page
Exp Biol MedHome page
M. T. Cantorna and B. D. Mahon
Mounting Evidence for Vitamin D as an Environmental Factor Affecting Autoimmune Disease Prevalence
Experimental Biology and Medicine, December 1, 2004; 229(11): 1136 - 1142.
[Abstract] [Full Text] [PDF]


Home page
J Clin Endocrinol MetabHome page
L. A. G. Armas, B. W. Hollis, and R. P. Heaney
Vitamin D2 Is Much Less Effective than Vitamin D3 in Humans
J. Clin. Endocrinol. Metab., November 1, 2004; 89(11): 5387 - 5391.
[Abstract] [Full Text] [PDF]


Home page
Am. J. Clin. Nutr.Home page
H. L Newmark, R. P Heaney, and P. A Lachance
Should calcium and vitamin D be added to the current enrichment program for cereal-grain products?
Am. J. Clinical Nutrition, August 1, 2004; 80(2): 264 - 270.
[Abstract] [Full Text] [PDF]


Home page
N Engl J MedHome page
N. H. Bjarnason, A. S. Chan, S. M. Ott, S. L. Ruggiero, B. Mehrotra, H. G. Bone, and A. C. Santora
Ten Years of Alendronate Treatment for Osteoporosis in Postmenopausal Women
N. Engl. J. Med., July 8, 2004; 351(2): 190 - 192.
[Full Text] [PDF]


Home page
Am. J. Clin. Nutr.Home page
B. W Hollis and C. L Wagner
Assessment of dietary vitamin D requirements during pregnancy and lactation
Am. J. Clinical Nutrition, May 1, 2004; 79(5): 717 - 726.
[Abstract] [Full Text] [PDF]


Home page
Am. J. Clin. Nutr.Home page
M. F Holick
Vitamin D: importance in the prevention of cancers, type 1 diabetes, heart disease, and osteoporosis
Am. J. Clinical Nutrition, March 1, 2004; 79(3): 362 - 371.
[Abstract] [Full Text] [PDF]


Home page
J. Nutr.Home page
C. M. Weaver
2003 W. O. Atwater Memorial Lecture: Defining Nutrient Requirements from a Perspective of Bone-Related Nutrients
J. Nutr., December 1, 2003; 133(12): 4063 - 4066.
[Full Text] [PDF]


Home page
Am. J. Clin. Nutr.Home page
A. Zittermann
Serum 25-hydroxyvitamin D response to oral vitamin D intake in children
Am. J. Clinical Nutrition, September 1, 2003; 78(3): 496 - 497.
[Full Text] [PDF]


This Article
Abstract
Full Text (PDF)
An erratum has been published
Purchase Article
View Shopping Cart
Alert me when this article is cited
Alert me if a correction is posted
Citation Map
Services
Similar articles in this journal
Similar articles in PubMed
Alert me to new issues of the journal
Download to citation manager
Request Permissions
PubMed
PubMed Citation
Articles by Heaney, R. P
Articles by Barger-Lux, M J.


HOME HELP FEEDBACK SUBSCRIPTIONS ARCHIVE SEARCH TABLE OF CONTENTS